
大家好,我是Paul,欢迎来到Paul奇葩说,如果你觉得Paul的观点对你有帮助可以点个关注,每日区块链技术观点持续输出中!
1.alpha是啥?
说到alpha这个字眼,Paul就比较熟悉了,因为Paul进圈前就职于某大厂,所以对于alpha这个字眼很熟悉。
在软件开发阶段一般用alpha版本来说明这个版本是早期开发阶段还是需要经过测试的,主要用来验证基本框架和开发方向是否正确,重点是软件是否可以运行正常,主逻辑是否正确。
那现在在币安的alpha的平台是不是也是这样的含义呢?咱来类比下:
让用户体验项目早期,咱都知道有的项目在早期会给到版本让用户来体验功能比如zkSync 在空投前提供了 Alpha Testnet ,在某种程度上来说给到项目冷启动提供了很大的助力,毕竟币安的用户基数很大,在某种程度上咱也充当了项目的测试人员,给咱一点空投不过分吧。
将某些优质的项目上线,给到了项目上线的机会,不仅带来了用户体验生态还带来流动性。
用户通过体验生态,提供流动性来获取到空投。
2.版本的迭代
2.1 alpha0.1版本
这个版本更多的我觉得是推动大家来使用web3的钱包,所以我这里把他叫做0.1版本,这个版本更多的大家都可以参与,所以对于用户的要求不高、

2.2 alpha0.2版本
该版本是在0.1的版本上加了一个要求,不过相对来说要求也比较低,只需要100美金就可以参与了。

2.2 alpha0.3版本
该版本是在0.2的版本上加了一个要求,开始慢慢引入交易了,不过这时候还是只需要交易了alpha的代币就可以了,相对来说并没有多少数量的限制

2.2 alpha1.0版本
该版本就是咱现在比较熟悉的版本了-积分大战版本。

咱下面就跟大家项目说下这个积分大战的版本的细节:
积分是按照15天一个轮回的,那咱总的积分就是这15天的积分的总和,那这里就很好玩了,如果你今天没刷很有可能就落后一个档位直接失去了下一个空投的机会,就需要等到一个轮回来将分数不上去,那这就得让用户每天都需要去参与刷积分。
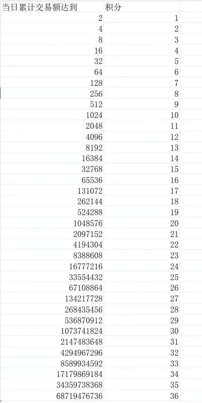
积分怎么构成呢?目前的积分是由你的余额和你的交易量两者相加来得到你今天的积分。
现在的空投是需要用户去领取的,相对应的来说也是需要去扣除积分的,目前一般在15分左右,那你今天领取了空投想将分数提上去如果只刷交易量就得32768,但是目前最好的交易档位在16384,磨损较小。
BSC是双倍交易量的加成,就是咱目前锚定的档位是16384,那咱就只需要刷到8200的交易量就可以了,从某种程度上来说也算给大家节省了磨损。
3.个人想法
我看很多人在群里发自己刷alpha的时候赚钱了,心里就想着低买高买,Paul这里提醒下啊,为啥这个版本叫做alpha,说明流动性等都不能很稳定的,所以不要为了眼前的利益蒙住了你的双眼,咱是来干啥的?咱是来撸积分的,不是来干交易的,如果要干交易就去平台,相对来说流动性好点。
下面给大家一些Paul的个人意见:
哪里找的到alpha官方解读:点开你的币安app->左上角币安LOGO--更多服务--咨询--Alpha活动。
目前官方出了四个代币的交易竞赛:#B2 #myx #zkj #AIOT 咱在撸积分的同时也可以去看到目前的交易量门槛查看是否可以获得奖励。
咱刷之前需要看下币种的深度,流动性好不好,如果你看到这个币种在跌,不建议刷,毕竟咱有四个选择,不会四个都在跌对吧。
BSC最大的问题就是夹子比较多,虽然官方也开启了MEV的保护,但是为了咱的资产的稳定,建议不要大额的去刷,咱就选择500U的资金去刷即使多点次数,目前Paul的测试使用500去刷16384的档位,磨损在4-5U,咱就算15天一个空投吧,那就是60U,目前引入积分的都是赚钱的,所以不要怕。
重点刷的时间点建议在早上八点-9点,晚上九点到10点,因为这时候人较多,流动性相对来说比较多,为什么呢?因为这时候人比较多,很多人不是全职来刷alpha的,他们只能趁着早起或者下班休息的时候将自己每日的交易量的任务完成。