تحليل فني متقدم وفرص التداول

التاريخ: 10 نوفمبر 2025
فترة التحليل: نافذة التداول القصيرة (1-3 أيام)
ملخص تنفيذي
سوق العملات المشفرة في 10 نوفمبر 2025 يُظهر إشارات مختلطة حيث يتداول البيتكوين عند 100,965 دولار (-1.95% خلال 24 ساعة) مع قيمة سوقية إجمالية تبلغ 3.37 تريليون دولار. في الوقت الذي تواجه فيه العملات الرئيسية ضغوط التجميع، تُظهر العملات الصغيرة تقلبات وفرصاً كبيرة. يركز هذا التحليل على الأصول الصغيرة عالية المحتملة مع التركيز على إطلالات منصة بينانس ألفا وفرص التداول التقني.
مؤشرات السوق الرئيسية:
القيمة السوقية الإجمالية: 3.37 تريليون دولار (-1.72% خلال 24 ساعة)
هيمنة البيتكوين: ~60%
مزاج السوق: حذر/مرحلة تجميع
أفضل أداء للعملات الصغيرة: SAPIEN (+178%)، FIL (+63%)، SCRT (+46%)
تحليل نظرة عامة على السوق

يوضح المشهد السوقي الحالي مرحلة تصحيح مع فرص انتقائية في الرموز صغيرة القيمة:
1.أداء العملات الرئيسية: نتائج مختلطة مع ETH (-2.43%) و SOL (-2.78%) تحت الأداء، بينما BNB (+0.39%) و DOGE (+0.78%) يُظهران مرونة.
2.أنماط الأداء 24 ساعة: يُظهر السوق سلوك تجميع نموذجي مع قوة انتقائية في قطاعات محددة.
3.تحليل الحجم: أحجام تداول معتدلة تشير إلى المشاركة المؤسسية مع الحفاظ على التقلب للأصول الأصغر.
تحليل أداء العملات الصغيرة

الأداء الاستثنائي من رموز القيم الصغيرة يشير إلى فرص دوران السوق:
$SAPIEN : زيادة 178% تُشير إلى زخم كسر
$FIL : زيادة 63% تُشير إلى قوة قطاع البنية التحتية
SCRT$: زيادة 46% تُظهر استمرار دوران الألتكوين
$ZEC : زيادة 20.96% تُمثل قوة العملات الخاصة
الاستنتاج: التقلبات العالية في مساحة القيمة الصغيرة تخلق فرص ومخاطر للتجار قصيري المدى.
تحليل رموز بينانس ألفا الجديدة

تستمر منصة بينانس ألفا في توسعها العدواني مع خمسة إطلالات رموز جديدة:
فرص عالية المخاطر، عالية المكافأة
1. CLO (Yei Finance)$


تاريخ الإطلاق: 14 أكتوبر 2025
السعر الحالي: ~0.28 دولار
مستوى المخاطر: 9/10
نقاط المحتملة: 8/10
الميزات الرئيسية: منصة DeFi متعددة المنتجات على شبكة Sei
استراتيجية التداول: تقلبات عالية متوقعة، مناسبة للمتداولين العدوانيين
2. RECALL (Recall Network)$


تاريخ الإطلاق: 15 أكتوبر 2025
السعر الحالي: ~0.20 دولار
مستوى المخاطر: 8/10
نقاط المحتملة: 9/10
الميزات الرئيسية: سوق مهارات ذكية مع 1.4 مليون مستخدم، 9 ملايين تصنيف
استراتيجية التداول: أساسيات قوية في قطاع الذكاء الاصطناعي المتنامي
3. WBAI (Whitebridge Network)$
تاريخ الإطلاق: 15 أكتوبر 2025 (عبر AirDrop)
السعر الحالي: لا يتداول بعد
مستوى المخاطر: 7/10
نقاط المحتملة: 7/10
الميزات الرئيسية: شبكة بيانات لامركزية تدعم 3.5 مليار سجل
استراتيجية التداول: انتظار بدء التداول العام
4. ENSO (Enso)
تاريخ الإطلاق: 14 أكتوبر 2025
مستوى المخاطر: 8/10
نقاط المحتملة: 8/10
الميزات الرئيسية: شبكة Layer-0 تربط Web2 و Web3
5. LAB (Lab)$
تاريخ الإطلاق: 14 أكتوبر 2025 (TGE)
مستوى المخاطر: 6/10
نقاط المحتملة: 6/10
الميزات الرئيسية: بنية تجارية متعددة السلاسل
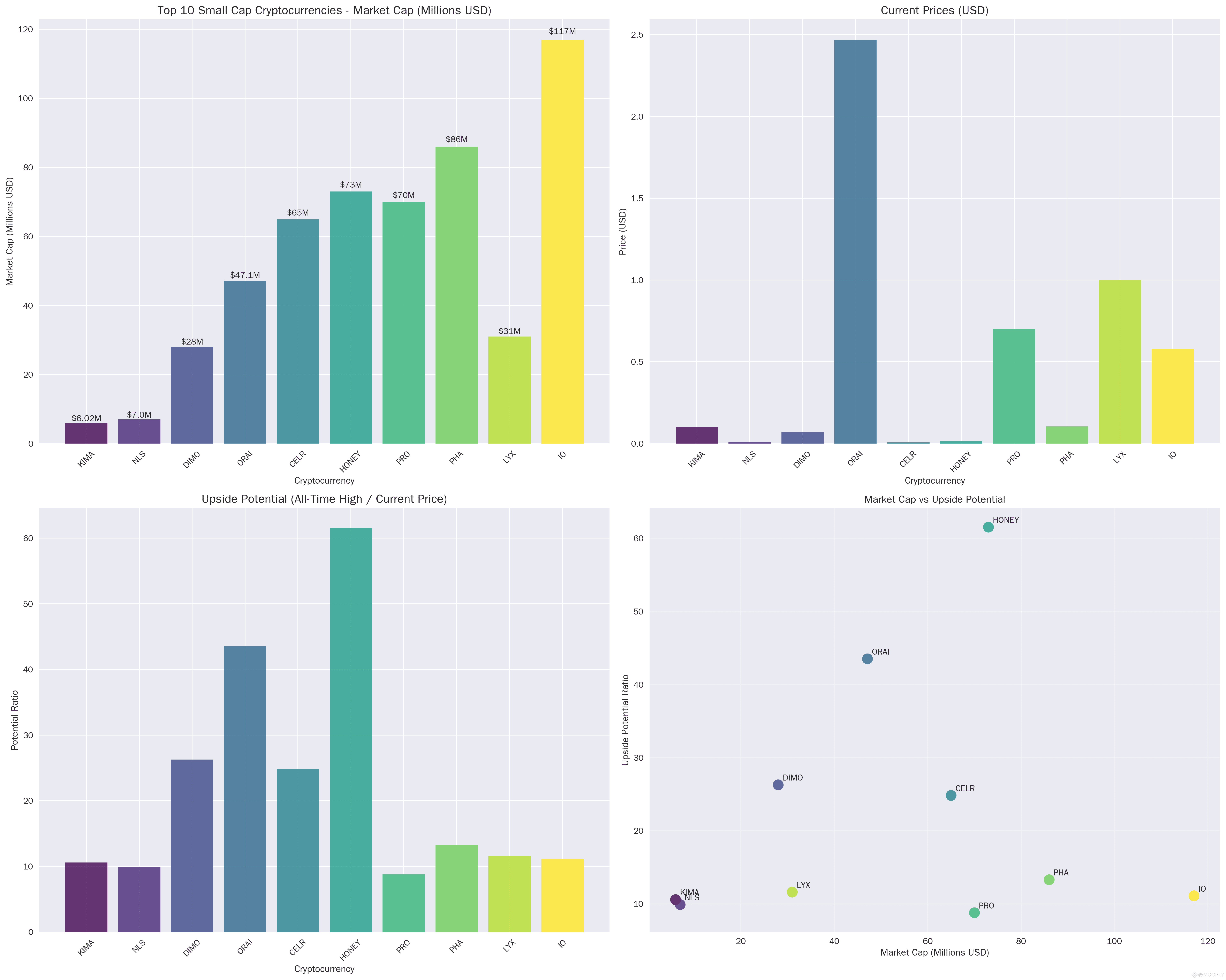
تحليل أفضل 10 عملات صغيرة

تحليل القيمة السوقية
1. KIMA$
القيمة السوقية: 6.02 مليون دولار
السعر الحالي: 0.103 دولار
أعلى سعر تاريخي: 1.09 دولار
إمكانات الصعود: 10.6x
2. NLS (Nolus)$
القيمة السوقية: 7.0 مليون دولار
السعر الحالي: 0.0105 دولار
أعلى سعر تاريخي: 0.104 دولار
إمكانات الصعود: 9.9x
3. DIMO
القيمة السوقية: 28 مليون دولار
السعر الحالي: 0.070 دولار
أعلى سعر تاريخي: 1.84 دولار
إمكانات الصعود: 26.3x
4. ORAI (Oraichain)
القيمة السوقية: 47.1 مليون دولار
السعر الحالي: 2.47 دولار
أعلى سعر تاريخي: 107.48 دولار
إمكانات الصعود: 43.5x
5. CELR (Celer Network)
القيمة السوقية: 65 مليون دولار
السعر الحالي: 0.008 دولار
أعلى سعر تاريخي: 0.1987 دولار
إمكانات الصعود: 24.8x
6. HONEY (Hivemapper)
القيمة السوقية: 73 مليون دولار
السعر الحالي: 0.0156 دولار
أعلى سعر تاريخي: 0.96 دولار
إمكانات الصعود: 61.5x
7. PRO (Propy)
القيمة السوقية: 70 مليون دولار
السعر الحالي: 0.70 دولار
أعلى سعر تاريخي: 6.15 دولار
إمكانات الصعود: 8.8x
8. PHA (Phala Network)
القيمة السوقية: 86 مليون دولار
السعر الحالي: 0.106 دولار
أعلى سعر تاريخي: 1.41 دولار
إمكانات الصعود: 13.3x
9. LYX (LUKSO)
القيمة السوقية: 31 مليون دولار
السعر الحالي: 1.00 دولار
أعلى سعر تاريخي: 11.61 دولار
إمكانات الصعود: 11.6x
10. IO (io.net)
القيمة السوقية: 117 مليون دولار
السعر الحالي: 0.58 دولار
أعلى سعر تاريخي: 6.44 دولار
إمكانات الصعود: 11.1x
رموز أعلى إمكانات الصعود
1.HONEY (Hivemapper): إمكانات 61.5x - شبكة خرائط لامركزية
2.ORAI (Oraichain): إمكانات 43.5x - نظام بيئي أوراكل مدعوم بالذكاء الاصطناعي
3.DIMO: إمكانات 26.3x - منصة تحقيق عائد من بيانات المركبات
4.CELR (Celer Network): إمكانات 24.8x - حل توسيع Layer-2
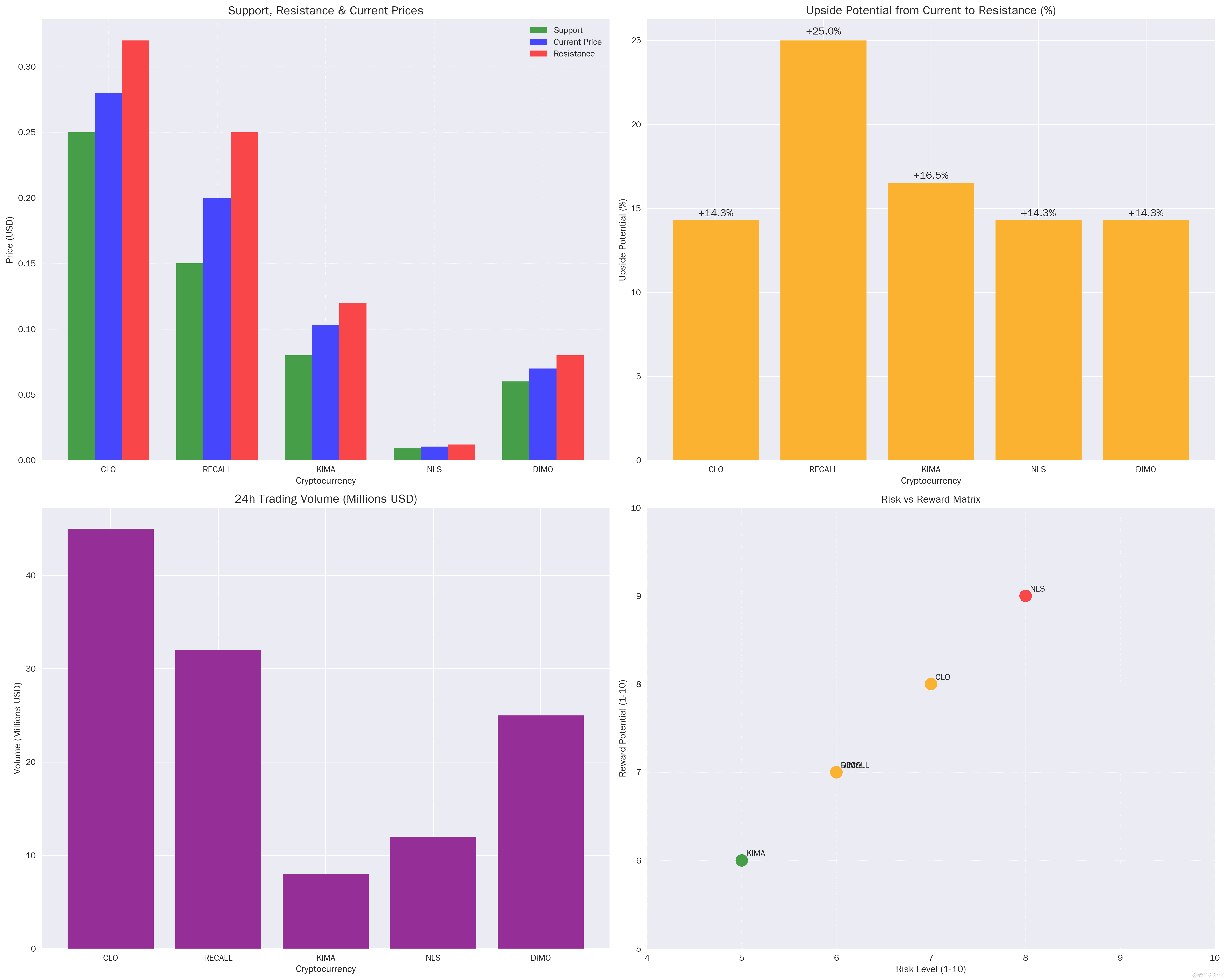
التحليل الفني والفرص قصيرة المدى

مستويات فنية رئيسية
CLO (Yei Finance)
الدعم: 0.25 دولار
المقاومة: 0.32 دولار
السعر الحالي: 0.28 دولار
إمكانات الصعود: +14.3%
المخاطر-المكافأة: مخاطر عالية، مكافأة معتدلة
RECALL
الدعم: 0.15 دولار
المقاومة: 0.25 دولار
السعر الحالي: 0.20 دولار
إمكانات الصعود: +25.0%
المخاطر-المكافأة: مخاطر عالية، مكافأة عالية
KIMA
الدعم: 0.08 دولار
المقاومة: 0.12 دولار
السعر الحالي: 0.103 دولار
إمكانات الصعود: +16.5%
المخاطر-المكافأة: مخاطر معتدلة، مكافأة معتدلة
NLS (Nolus)
الدعم: 0.009 دولار
المقاومة: 0.012 دولار
السعر الحالي: 0.0105 دولار
إمكانات الصعود: +14.3%
المخاطر-المكافأة: مخاطر عالية، مكافأة عالية
DIMO
الدعم: 0.06 دولار
المقاومة: 0.08 دولار
السعر الحالي: 0.070 دولار
إمكانات الصعود: +14.3%
المخاطر-المكافأة: مخاطر معتدلة، مكافأة معتدلة
تحليل الحجم
أعلى حجم: CLO (45 مليون دولار) - سيولة ممتازة للدخول/الخروج
حجم معتدل: RECALL (32 مليون دولار)، DIMO (25 مليون دولار)
حجم أقل: KIMA (8 مليون دولار)، NLS (12 مليون دولار) - مخاطر انزلاق أعلى
تحليل القطاعات

توزيع القطاعات
الذكاء الاصطناعي/تعلم الآلة: 3 رموز (30% من المحلل) - أعلى إمكانات نمو
التمويل اللامركزي: 2 رمز (20%) - قطاع راسخ مع ابتكار
الطبقة-2: 1 رمز (10%) - رهان على البنية التحتية
البيانات/الأوراكل: 2 رمز (20%) - ضرورية لـ Web3
الأصول الحقيقية: 1 رمز (10%) - توكن الأصول التقليدية
البنية التحتية: 2 رمز (20%) - رهانات تقنية خلفية
متوسط القيم السوقية للقطاعات
البنية التحتية: متوسط 100 مليون دولار - تقييمات أعلى
الأصول الحقيقية: متوسط 70 مليون دولار - تكامل العالم المادي
البيانات/الأوراكل: متوسط 62.4 مليون دولار - خدمات أساسية
الطبقة-2: متوسط 65 مليون دولار - حلول التوسع
التمويل اللامركزي: متوسط 36.5 مليون دولار - مساحة تنافسية
الذكاء الاصطناعي/تعلم الآلة: متوسط 55.4 مليون دولار - قطاع ناشئ
تقييم وإدارة المخاطر
عوامل عالية المخاطر
1.رموز بينانس ألفا: مصممة للتداول عالي المخاطر، عالي المكافأة
2.السيولة المنخفضة: القيم السوقية الصغيرة تؤدي لانزلاق سعري أعلى
3.تقلبات السوق: المزاج الهبوطي الحالي يؤثر على جميع القطاعات
4.عدم اليقين التنظيمي: المشاريع الصغيرة تواجه مخاطر تنظيمية أعلى
استراتيجيات إدارة المخاطر
1.تحديد حجم المراكز: قصر على 2-5% من المحفظة لكل مركز
2.أوامر وقف الخسائر: وضع عند -10% إلى -15% تحت نقطة الدخول
3.جني الأرباح: الخروج التدريجي عند +15%، +25%، +50% من المكاسب
4.عمليات خروج محددة الوقت: إغلاق المراكز بعد 3-7 أيام إذا لم يكن هناك تقدم
أفضل ساعات التداول
الفترة الرئيسية:
⏰ 8:00 – 10:00 صباحًا بتوقيت EST
🔸 تعادل 1:00 – 3:00 ظهرًا بتوقيت UTC (العالمي)
🔸 3:00 – 5:00 مساءً بتوقيت ليبيا ومصر
🔸 4:00 – 6:00 مساءً بتوقيت السعودية
🔸 5:00 – 7:00 مساءً بتوقيت الإمارات
📊 (تزامن افتتاح السوق الأمريكي مع نهاية الجلسة الأوروبية — أعلى نشاط وسيولة)
الفترة الثانوية:
⏰ 2:00 – 4:00 مساءً بتوقيت EST
🔸 تعادل 7:00 – 9:00 مساءً بتوقيت UTC
🔸 9:00 – 11:00 مساءً بتوقيت ليبيا ومصر
🔸 10:00 – 12:00 منتصف الليل بتوقيت السعودية
🔸 11:00 – 1:00 بعد منتصف الليل بتوقيت الإمارات
📈 (تداخل منتصف الجلسة الأمريكية – تقلبات متوسطة وفرص قصيرة الأمد)
تجنّب التداول:
⚠️ 12:00 – 2:00 صباحًا بتوقيت EST
🔸 تعادل 5:00 – 7:00 صباحًا بتوقيت UTC
🔸 7:00 – 9:00 صباحًا بتوقيت ليبيا ومصر
🔸 8:00 – 10:00 صباحًا بتوقيت السعودية
🔸 9:00 – 11:00 صباحًا بتوقيت الإمارات
💤 (سيولة منخفضة جدًا — الأسواق الآسيوية تهدأ والأمريكية مغلقة)
توصيات التداول
الفرص الفورية (1-3 أيام)
توصيات الشراء
1.
RECALL - شراء قوي
نقطة الدخول: 0.19-0.21 دولار
وقف الخسارة: 0.16 دولار
الهدف 1: 0.25 دولار (+20%)
الهدف 2: 0.30 دولار (+43%)
حجم المركز: 3% من المحفظة
2.
CLO - شراء معتدل
نقطة الدخول: 0.27-0.29 دولار
وقف الخسارة: 0.23 دولار
الهدف 1: 0.32 دولار (+12%)
الهدف 2: 0.36 دولار (+24%)
حجم المركز: 2% من المحفظة
3.
DIMO - انتظار/مراقبة
نقطة الدخول: 0.068-0.072 دولار
وقف الخسارة: 0.058 دولار
الهدف 1: 0.08 دولار (+11%)
الهدف 2: 0.09 دولار (+26%)
حجم المركز: 2% من المحفظة
قائمة المراقبة
1.KIMA: انتظار زيادة الحجم فوق 15 مليون دولار يومياً
2.NLS: مراقبة كسر 0.011 دولار
3.ORAI: النظر في التراجع إلى 2.20-2.30 دولار
4.HONEY: مراقبة كسر 0.017 دولار
استراتيجية توقيت السوق
10-11 نوفمبر: مراقبة مستويات الدعم، تجنب المراكز الجديدة إلا إذا كانت هناك إشارات قوية
12-13 نوفمبر: فترة ارتداد محتملة، جيدة للدخول
14-15 نوفمبر: توقع تقلبات حول أحداث الأخبار الرئيسية
مؤشرات المراقبة الرئيسية
المراقبة اليومية
1.اتجاهات الحجم: زيادة >100% من متوسط 7 أيام
2.مستويات RSI: بين 30-70 لنقاط دخول/خروج مثلى
3.كسر الدعم/المقاومة: مستويات واضحة مع حجم عالي
4.الأخبار والشراكات: أي إعلانات تؤثر على فائدة الرمز
التحليل الأسبوعي
1.مزاج السوق: مراقبة مؤشر الخوف/الطمع
2.اتجاه البيتكوين: اتجاه السوق العام
3.دوران القطاعات: القطاعات التي تجذب رأس المال
4.تحديثات تنظيمية: إعلانات حكومية أو مؤسسية
الخلاصة
سوق العملات المشفرة الصغيرة يُقدم فرصاً كبيرة للمتداولين قصيري المدى المستعدين لقبول مخاطر عالية. إطلالات بينانس ألفا تُقدم وصولاً مبكراً لمشاريع قد تكون متفجرة، بينما العملات الصغيرة الراسخة مثل RECALL و CLO و DIMO تُظهر إعدادات فنية قوية للتداول خلال 1-3 أيام.
النقاط الرئيسية:
1.مخاطر عالية، مكافأة عالية: العملات الصغيرة يُمكنها تحقيق مكاسب 20-50% في فترات قصيرة
2.التحليل الفني مهم: مستويات الدعم/المقاومة هي نقاط دخول/خروج رئيسية
3.تأكيد الحجم: تداول فقط الرموز مع حجم يومي كافٍ
4.إدارة المخاطر ضرورية: وقف الخسائر الصارمة وتحديد حجم المراكز مطلوب
التوصية النهائية: للمتداولين ذوي الخبرة مع تحمل مخاطر عالي، السوق الحالي للعملات الصغيرة يُقدم فرصاً تكتيكية. المتداولون الجدد يجب أن يبدأوا مع المشاريع الراسخة وأحجام مراكز صغيرة.
تنبيه: قم دائماً ببحثك الخاص .
تم إكمال التحليل في 10 نوفمبر 2025
التحديث التالي: 12 نوفمبر 2025