By Lydia Wu, Researcher at Mint Ventures
Please note: As Quilibrium’s mainnet has not yet launched, and public information is limited, the descriptions of its incentive mechanisms, tokenomics, financing, and roadmap are based on public resources and may change in the future. This article is intended for research and educational purposes and should not be taken as investment advice. We welcome any feedback.
Key Insights
Theses
Quilibrium aims to bridge the gap between the computational capabilities of the traditional internet and the decentralized nature of blockchain, establishing a unique decentralized cloud computing architecture. This synthesis offers a balanced approach, leveraging strengths from both worlds.
Quilibrium has developed a database-driven operating system that resonates with the workflows of traditional software development, potentially attracting mainstream software developers. This system also supports Web3 developers in crafting sophisticated crypto applications, providing a versatile foundation for diverse development needs.
The design of Quilibrium’s architecture places a strong emphasis on security and privacy, appealing to enterprises seeking to adopt cryptographic technologies while protecting sensitive data. For individual users, the early success of Farcaster showcases the potential of decentralized applications to engage users and drive profitability.
Cassie Heart, the Founder and CEO of Quilibrium, is a former senior engineer at Coinbase and developer of Farcaster, leading a team recognized for its profound expertise, consistent performance, and innovative approach.
Risks
The project is in its early stages, with its mainnet yet to be launched. Additionally, the complexity of the project means that both its technological feasibility and market demand remain untested.
In the short term, Quilibrium could encounter competitive challenges from the more established Arweave AO, particularly in terms of user perception and developer engagement.
Furthermore, the lack of clearly defined tokenomics and the possibility of fluctuations in the token release rate present significant risks for investors.
Valuation
Given that Quilibrium is in its early stages, an accurate valuation is not currently feasible. However, when examining the circulating and fully diluted market cap, Quilibrium appears competitively valued compared to other market players with similar concepts.
Business Analysis
Quilibrium defines itself as a “decentralized internet layer protocol, providing the creature comforts of Cloud without sacrificing privacy or scalability,” and as a “decentralized Platform-as-a-Service(PaaS) solution.” This section explores Quilibrium’s business model by addressing the following key questions:
What issues exist with traditional internet cloud computing?
Why is there a need for new decentralized computing platforms?
What makes Quilibrium unique compared to other popular blockchain architectures?

Cassie Heart on Farcaster
Business Positioning
Start with Computing
In both Web2 and Web3, “computing” is a vital concept, acting as the catalyst for the development, execution, and scaling of applications.
In traditional Internet frameworks, computing tasks are usually handled by centralized servers. The emergence of cloud computing has improved the scalability, accessibility, and cost-efficiency of these tasks, increasingly becoming the dominant form of computing.
Cloud services offered by major providers are generally categorized into three main types: Infrastructure as a Service (IaaS), Platform as a Service (PaaS), and Software as a Service (SaaS). Each category meets different user needs and capabilities, offering varying levels of resource control. While SaaS is most familiar to end-users, PaaS and IaaS are primarily targeted at developers.

Made by Lydia@MintVentures

Data source: S2 Lab, Made by Lydia@Mint Ventures
In mainstream blockchains like Ethereum, computing is handled by decentralized nodes. This approach operates without central servers, with each node executing tasks locally and ensuring data accuracy and consistency through a consensus mechanism. However, the capability and speed of decentralized computing often fall short compared to traditional cloud services.
Quilibrium aims to balance the robust computing power and scalability of the traditional internet with the decentralization of blockchain, paving the way for new possibilities in application development.

Cassie Heart’s Live Streaming
Centralization in Computer Systems
For most end users, the centralization of computer systems is not easily perceivable, as they mainly interact with the hardware layer. PCs, smartphones, and other devices are distributed globally and run independently under individual control, giving the impression that hardware-level systems are not centralized.
However, in contrast to this hardware dispersion, computer systems are significantly more centralized at the network architecture and cloud computing service levels. In the first quarter of 2024, Amazon AWS, Microsoft Azure, and Google Cloud collectively held over 67% of the cloud service market share, far outpacing newer entrants.

Source: Synergy Research Group
Moreover, benefiting from the AI boom, cloud service providers continue to grow stronger. Microsoft Azure, as the exclusive cloud provider for OpenAI, has reversed its previous slow performance, now showing accelerated growth. In Microsoft’s fiscal third quarter of 2024 (the first calendar quarter of 2024), Azure and other cloud services saw a revenue increase of 31%, surpassing market expectations of 28.6%.

Data Source: Microsoft, Made by Lydia@MintVentures
In addition to market competition, privacy and security concerns related to centralized computing systems are increasingly in the spotlight. Each outage at major cloud service providers has a widespread impact. Between 2010 and 2019, AWS experienced 22 sudden outages, averaging 2.4 outages per year. These disruptions not only affected Amazon’s e-commerce business but also impacted the online services of companies reliant on AWS, including Robinhood, Disney, Netflix, and Nintendo.
Introduction of Decentralized Computing
In this context, the need for decentralized computing is increasingly emphasized. As centralized cloud service providers move towards distributed architectures—by replicating data and services in multiple locations to prevent single points of failure and enhancing performance through edge storage—the focus of decentralized computing narratives has shifted towards data security, privacy, scalability, and cost-efficiency.
Let’s explore several concepts of decentralized computing proposed by various projects, all aiming to disperse data storage and processing to create a globally distributed computing platform that supports the development of decentralized applications:
World Computer: This generally refers to Ethereum, which provides a global smart contract execution environment. Its key functionalities include decentralized computing and the uniform execution of smart contracts worldwide.
Internet Computer: Typically refers to the ICP developed by the Dfinity Foundation, with its goal of enhancing the Internet’s capabilities to enable decentralized applications to operate directly on the Internet.
Hyper Parallel Computer: Generally refers to the AO protocol introduced by Arweave, a distributed computing system built on the Arweave network, noted for its high parallelism and fault tolerance.
It’s important to note that ICP, AO, and Quilibrium are not traditional blockchains in the usual sense. They do not rely on a linear block structure but maintain fundamental principles like decentralization and data immutability. They can be seen as natural expansions of blockchain technology. Although ICP has not yet fully achieved its ambitious goals, the advent of AO and Quilibrium has opened up new possibilities that could influence the future of Web3.
The table below contrasts the technical features and application focuses of the three platforms, helping readers evaluate “whether Quilibrium might follow in ICP’s footsteps” and highlighting the differences between Quilibrium, another pioneering solution in decentralized computing, and AO, often dubbed the “Ethereum killer.”

Consensus Mechanism
In traditional blockchains, the consensus mechanism functions at a fundamental and abstract level, determining how the network achieves consensus, processes and verifies transactions, and executes other activities. The selection of different consensus mechanisms influences key aspects of the network such as security, speed, scalability, and decentralization.
Quilibrium’s consensus mechanism, known as “Proof of Meaningful Work” (PoMW), mandates that miners engage in genuinely beneficial tasks for the network, including data storage, data indexing, and network maintenance. The design of the PoMW consensus mechanism integrates multiple fields such as cryptography, multi-party computation, decentralized systems, database architecture, and graph theory. It aims to lessen dependence on single resources like energy or capital, preserve the network’s decentralized nature, and uphold security and scalability as the network expands.
The incentive mechanism is crucial for the efficient functioning of the consensus mechanism. Quilibrium’s incentive allocation is dynamic, adjusting based on network conditions to align incentives with current demands. Additionally, Quilibrium introduces a multi-proof mechanism, allowing a node to verify multiple data segments, ensuring the network remains operational even with a shortage of nodes and core resources.
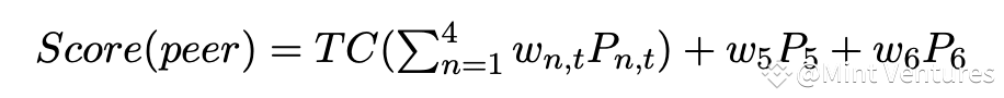
To help your understanding, we can use a simplified formula to calculate the ultimate earnings or miners, where the unit reward adjusts dynamically with the network size.
Earnings = Score × Unit Reward
The score is calculated based on various factors, and the formula is as follows:

The parameters are defined as follows:
Time in Mesh for Topic: Longer engagement and greater stability yield a higher score.
First Message Deliveries for Topic: A higher number of initial message deliveries increases the score.
Mesh Message Delivery Rate/Failures for Topic: Nodes with higher delivery rates and fewer failures receive higher scores.
Invalid Messages for Topic: Fewer instances of delivering invalid messages lead to a higher score.
The weighted sum of these four parameters is subject to a topic cap (TC), which serves to keep the score within a certain range and prevent unfair scoring due to excessively high individual parameters.
Application-Specific Score: Defined by the particular application.
IP Collocation Factor: Higher scores are awarded to nodes with fewer others sharing the same IP address.

Quilibrium Dashboard
Quilibrium currently operates over 60,000 nodes, and the actual earnings of these nodes may vary due to the differing parameter weights between versions. From version v1.4.19 onwards, miners can view their earnings in real-time, although the earnings can only be claimed once the mainnet goes live.
Network Architecture
Quilibrium’s core business is its decentralized PaaS solution, characterized by a network model that includes communication, storage, data querying and management, and operating systems. This section highlights the distinctive aspects of its design compared to other blockchains. Readers interested in technical specifics and methodologies can refer to the official documents and whitepaper.
Communication
Communication serves as the foundational component of the Quilibrium network and consists of four parts:
a. Key Generation
Quilibrium introduces a key generation mechanism called PCAS (Planted Clique Addressing Scheme), based on graph theory. Like traditional blockchain technology, PCAS utilizes asymmetric encryption: each user possesses a public key and a private key. The public key is used for encrypting messages or verifying signatures and can be made public, while the private key is used for decrypting messages or creating signatures and is kept private. The main differences lie in the methods of key generation, forms, and application scenarios.

b. End-to-End Encryption
End-to-end encryption (E2EE) is a vital component that ensures secure communication between nodes. With E2EE, only the parties directly involved in the communication can view the plaintext data. Systems or intermediaries that assist in message delivery are unable to read the contents.
Quilibrium utilizes an end-to-end encryption method known as Triple-Ratchet, which provides enhanced security over traditional ECDH schemes. Unlike traditional schemes that use a single static key or periodically update the key, the Triple-Ratchet protocol updates the key after each communication session. This ensures forward secrecy, post-compromise security, deniability, and replay protection, and supports out-of-order message delivery. This method is particularly suited for group communications, although it is relatively more complex and computationally costly.
c. Shuffled Lattice Routing
Mixnets function as a black box that receives messages from senders and forwards them to recipients, ensuring that external attackers, even with access to information outside the black box, cannot correlate senders with recipients.
Quilibrium utilizes Random Permutation Matrix (RPM) technology, which forms a shuffled network architecture that is complex in structure and resistant to both external and internal attacks, thereby providing enhanced anonymity, security, and scalability.
d. Peer-to-Peer Communication
GossipSub is a peer-to-peer messaging protocol that operates on a publish/subscribe model, extensively employed in blockchain technologies and decentralized applications (DApps). Quilibrium’s BlossomSub protocol enhances the traditional GossipSub framework, focusing on improving privacy safeguards, increasing resilience against Sybil attacks, and enhancing overall network performance.
Storage
Most traditional blockchains use cryptographic hash functions for foundational data integrity verification and rely on consensus mechanisms to maintain network consistency. This method presents two primary limitations:
There is no built-in verification for the duration of storage, lacking direct defenses against timestamps or computational capability-based attacks.
The separation between storage and consensus mechanisms can result in challenges related to data synchronization and consistency.
Quilibrium’s storage strategy employs a Verifiable Delay Function (VDF) to create a timestamp-dependent chain structure that integrates storage with consensus mechanisms. This approach has several key features:
Input processing: Utilizing hash functions like SHA256 and SHAKE128 to process inputs ensures that minor data variations result in substantial changes in hash values, enhancing resistance to tampering and facilitating easier verification.
Delay Assurance: The computation is deliberately designed to be lengthy, with each task relying on the results of the previous step and unable to be hastened by increased computing power. This ensures outputs are based on consistent timestamp calculations. As the process is non-parallelizable, any attempts to recompute or alter the publicly disclosed VDF outcomes would take significant time, allowing network participants to detect and react.
Quick verification: Verifying a VDF result takes less time than generating it, requiring only a handful of mathematical tests or some supplementary data to confirm its validity.

Quilibrium Whitepaper
This timestamp-based proof chain structure operates independently of block generation in traditional blockchains, theoretically reducing the incidence of MEV attacks and front-running behaviors.
Data Query and Management
Traditional blockchains primarily employ straightforward key-value storage or Merkle Trees for data management, which generally restricts their capability to represent complex relationships and facilitate advanced queries. Additionally, most existing blockchain systems lack inherent privacy safeguards during query execution by nodes, setting the stage for the development of privacy-enhancing technologies like zero-knowledge proofs.
Quilibrium has introduced “Oblivious Hypergraph”, integrating hypergraph structures with Oblivious Transfer technology, which facilitates complex querying capabilities while preserving data privacy. Specifically:
Hypergraph Structure: This allows for edges that connect multiple vertices, significantly improving the ability to depict complex relationships. It can directly map various database models, enabling the representation and querying of any type of data relationship.
Oblivious Transfer Technology: This ensures that nodes processing the data remain unaware of the actual content being accessed, thereby enhancing privacy during the querying process.
Operating System
The operating system is not a native concept in the blockchain space. Most traditional blockchains focus on consensus mechanisms and data immutability, often lacking complex operating systems. For instance, while Ethereum supports smart contracts, its operating system functions are quite basic, primarily limited to transaction processing and state management.
Quilibrium has engineered an operating system that leverages its hypergraph database and has implemented regular operating system primitives such as file systems, schedulers, IPC mechanisms, message queues, and control key management. This integration directly with the database enhances the capability to develop sophisticated decentralized applications.

Quilibrium Whitepaper
Programming Languages
Quilibrium has chosen Go as its primary programming language, augmented by Rust and JavaScript. Go is favored for its robust capability in handling concurrent tasks, straightforward syntax, and vibrant developer community. According to the Tiobe index, Go has climbed significantly in popularity, reaching the 7th position in the latest June rankings. Other notable blockchain projects that utilize Go for core development include Ethereum, Polygon, and Cosmos.

Quilibrium

Tiobe
Project Overview
Development Path and Roadmap
Quilibrium released its white paper in December 2022, outlining a roadmap that is segmented into three distinct phases: Dusk, Equinox, and Event Horizon.
Currently, in its early stages, Quilibrium development team conducts network updates and iterations bi-weekly. The network is now on version v1.4.20, with plans to skip the 1.5 phase of the roadmap, transitioning directly from version 1.4 to 2.0. Version 2.0, marking the mainnet release, concludes the Dusk phase and is slated for official release in late July, enabling the bridging of $QUIL tokens.
According to provisional plans, the Equinox and Event Horizon phases will facilitate more sophisticated applications, such as streaming services and AI/ML model training.
Team Members and Funding
Cassie Heart, the founder and CEO of Quilibrium, brings a robust background with over 12 years of experience in software development and blockchain technology, previously holding a position as a senior software engineer at Coinbase.
Her disapproval of centralized social media platforms has led her to choose Farcaster as the primary platform for both her personal and Quilibrium’s official communications. On Farcaster, Cassie’s profile has attracted over 310,000 followers, including prominent individuals such as Ethereum’s founder, Vitalik Buterin. She is also an active contributor to Farcaster’s development.
The Quilibrium project, initiated in April 2023, has shown consistent progress. According to the development dashboard, the team consists of 24 developers, under Cassie Heart’s leadership.
The founder and CEO of Quilibrium, Cassie Heart, previously served as a senior software engineer at Coinbase, bringing over 12 years of experience in software development and blockchain technology.
Due to her disapproval of centralized social media platforms, both her personal and Quilibrium’s official project accounts are predominantly active on Farcaster. Cassie’s Farcaster profile boasts over 310,000 followers, including notable figures like Ethereum’s founder, Vitalik. Additionally, Cassie contributes to the development of Farcaster.
According to the development dashboard for Quilibrium, the project started in April 2023 and has progressed steadily ever since. The dashboard lists 24 developers, led by Cassie Heart.


Quilibrium
The Quilibrium team has not publicly disclosed its financial backing or the investors involved.
Tokenomics
$QUIL is the native token of Quilibrium, with a completely fair launch. All tokens are generated through node operations. According to Cassie, the team manages a small fraction of the nodes, yet holds less than 1% of the total tokens.
$QUIL operates without a fixed tokenomics and has no cap on the total supply. However, the supply is dynamically adjusted based on the rate of network adoption—more tokens are released as incentives for node operation as the network expands; conversely, if growth slows, the rate of token release is reduced accordingly.
The following table outlines projections made by both the team and community members regarding the token emissions schedule. Currently, 340 million tokens are in circulation, with the anticipated final supply expected to converge at around 2 billion, subject to the ecosystem’s evolution.

Source: @petejcrypto
Risks
At this stage, Quilibrium faces several potential risks:
The project is in its early stages, with its mainnet yet to be launched. Additionally, the complexity of the project means that both its technological feasibility and market demand remain untested.
In the short term, Quilibrium could encounter competitive challenges from the more established Arweave AO, particularly in terms of user perception and developer engagement.
Furthermore, the lack of clearly defined tokenomics and the possibility of fluctuations in the token release rate present significant risks for investors.
Valuation
Valuing public-blockchain-type infrastructures is inherently complex, considering multiple factors like TVL, active on-chain addresses, dApps, and the developer community. Quilibrium remains in its early stages, and the token $AO of Arweave AO is not open for trading, preventing us from determining an accurate valuation.
For reference, we list the circulating market value and fully diluted market value of projects with some conceptual overlap with Quilibrium (data as of June 23, 2024).

Source: CoinGecko, Last updated time: June 23th, 2024
References and Acknowledgments
This report is greatly supported by the reviews and feedback from @PleaseCallMeWhy, @ImDavidWeb3, and Connor.
Reading List
https://quilibrium.com/quilibrium.pdf
https://paragraph.xyz/@quilibrium.com
https://dashboard.quilibrium.com/
https://www.youtube.com/watch?v=Ye677-FkgXE&ab_channel=CassandraHeart
https://dune.com/cincauhangus/quilibrium
https://source.quilibrium.com/quilibrium/ceremonyclient/-/graphs/main?ref_type=heads
https://www.tiobe.com/tiobe-index/
https://www.blocmates.com/meal-deal-research-reports/quilibrium-crypto-not-blockchain-long-live-the-internet
https://www.statista.com/chart/18819/worldwide-market-share-of-leading-cloud-infrastructure-service-providers/
https://s2-labs.com/admin-tutorials/cloud-service-models/
https://medium.com/@permadao/%E5%8E%BB%E4%B8%AD%E5%BF%83%E5%8C%96%E4%BA%91%E6%9C%8D%E5%8A%A1%E8%BF%9B%E5%8C%96%E5%8F%B2-%E4%BB%8E-dfinity-ic-%E5%88%B0-arweave-ao-839b09b4f3ff
https://www.microsoft.com/en-us/investor/earnings/FY-2024-Q3/press-release-webcast
https://x.com/perma_daoCN/status/1798565157435830416
https://x.com/Pow2wer/status/1802455254065402106