

رفعت شركة ميتابلانيت توقعاتها للإيرادات للسنة المالية 2025 إلى 8.9 مليار ين.
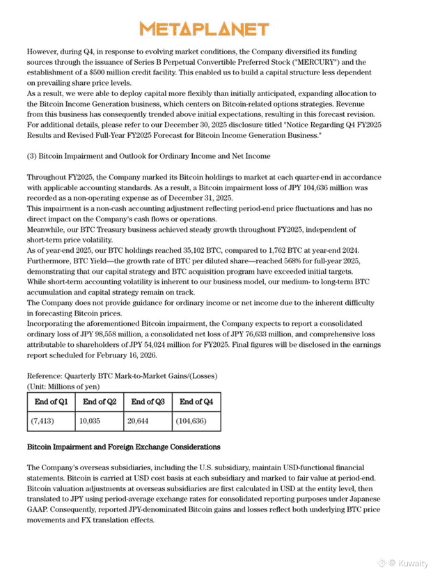
تم تسجيل خسارة انخفاض في قيمة البيتكوين بقيمة 104.6 مليار ين.
بلغت الخسارة الصافية 76.6 مليار ين، لكنها لا تزال غير نقدية فقط.
تستهدف الشركة تحقيق إيرادات بقيمة 16 مليار ين ياباني للسنة المالية 2026.
أصدرت شركة Metaplanet Inc.، المدرجة في بورصة طوكيو والمتخصصة في إدارة خزينة البيتكوين، تحديثاً مهماً لنتائجها المالية. وقامت الشركة بمراجعة توقعاتها للعام المالي 2025، إلى جانب الكشف عن رؤيتها لعام 2026. وجاء هذا التحديث عقب تسجيل خسارة محاسبية كبيرة مرتبطة بتراجع سعر البيتكوين.
وقالت ميتابلانيت إن عملياتها التشغيلية جاءت أفضل من التوقعات. إلا أن انخفاض أسعار $BTC أجبر الشركة على تسجيل خسارة انخفاض قيمة كبيرة على حيازاتها. وتبلغ حيازة الشركة حالياً 35,102 بيتكوين، بزيادة حادة مقارنة بـ1,762 بيتكوين قبل عام واحد. ورغم الخسارة الدفترية، شددت الإدارة على أن استراتيجيتها طويلة الأجل تجاه البيتكوين لم تتغير.
نتائج السنة المالية 2025 تظهر قوة التشغيل
خلال السنة المالية 2025، رفعت ميتابلانيت توقعاتها للإيرادات إلى 8.9 مليارات ين. كما زادت تقديرات أرباح التشغيل إلى 6.3 مليارات ين. وكان المحرك الرئيسي هو نشاط توليد الدخل المرتبط بالبيتكوين، والذي يعتمد على استراتيجيات خيارات مرتبطة با $BTC .




وفي الربع الرابع، تجاوزت إيرادات هذا القطاع التوقعات. وأوضحت الشركة أنها حققت أرباحاً أعلى من المخطط لها بعد توسيع مصادر التمويل. فقد أصدرت أسهماً ممتازة وأنشأت تسهيلات ائتمانية كبيرة. ونتيجة لذلك، أصبحت قادرة على توظيف رأس المال بمرونة أكبر. وفي الوقت نفسه، ظل نشاط الفنادق مستقراً. وأسهمت هذه العوامل مجتمعة في دفع الأداء السنوي إلى ما فوق الأهداف السابقة. وقالت الإدارة إن النتائج القوية تؤكد أن نموذجها التشغيلي فعال حتى مع تغير ظروف السوق.
خسارة انخفاض قيمة البيتكوين تخلق خسارة دفترية كبيرة
بالتوازي مع رفع توقعات الأرباح، سجلت ميتابلانيت خسارة كبيرة نتيجة انخفاض قيمة البيتكوين. وأدرجت الشركة خسارة قدرها 104.6 مليارات ين بسبب انخفاض أسعار البيتكوين في نهاية ديسمبر 2025. ويأتي هذا التعديل تماشياً مع القواعد المحاسبية اليابانية التي تفرض تقييم البيتكوين وفق أسعار السوق كل ربع سنة.
وبسبب ذلك، تتوقع ميتابلانيت تسجيل خسارة صافية قدرها 76.6 مليار ين للسنة المالية 2025. لكنها أكدت أن هذه الخسارة غير نقدية ولا تؤثر على حيازاتها الفعلية من البيتكوين أو على عملياتها اليومية. كما أشارت الإدارة إلى أن آثار سعر الصرف ساعدت جزئياً في تعويض الخسارة، إذ أدى ضعف الين إلى تحقيق مكاسب على الأصول المقومة بالدولار الأميركي. وبعد احتساب أثر العملات، بلغ صافي الانخفاض في قيمة أصول البيتكوين نحو 82 مليار ين. ودعت الشركة المستثمرين إلى النظر إلى خسارة الانخفاض في القيمة جنباً إلى جنب مع هذه العوامل المرتبطة بسعر الصرف.
توقعات 2026 تعكس ثقة مستمرة
وبالنظر إلى المستقبل، قدمت ميتابلانيت توقعات متفائلة للسنة المالية 2026. وتتوقع الشركة أن تصل الإيرادات إلى 16 مليار ين، مع أرباح تشغيلية تبلغ 11.4 مليار ين. ومن المنتظر أن يأتي الجزء الأكبر من هذا النمو من نشاط توليد الدخل المرتبط بالبيتكوين. وترى الشركة أن زيادة حجم حيازتها من البيتكوين ستدعم دخلاً مستقراً من العلاوات. كما تتوقع استمرار الأداء المستقر لأعمال الفنادق. ومع ذلك، لم تقدم ميتابلانيت توجيهاً بشأن صافي الأرباح، مشيرة إلى أن تقلبات أسعار البيتكوين تجعل من الصعب التنبؤ بها بدقة.
وتُعد ميتابلانيت واحدة من أكثر الشركات الآسيوية جرأة في الاحتفاظ بالبيتكوين على مستوى الشركات. وتركز استراتيجيتها على زيادة البيتكوين لكل سهم بمرور الوقت. وحتى بعد تسجيل خسارة الانخفاض في القيمة، أكدت الإدارة أنها ستواصل بناء ميزانيتها العمومية للأصول الرقمية. وتخطط الشركة لإصدار النتائج النهائية للسنة المالية 2025 في 16 فبراير. وحتى ذلك الحين، تقول إن الشفافية ستظل أولوية قصوى.
#BinanceSquareFamily #BinanceSquareBTC #BinanceSquare #news #metaplanet