Por Lydia Wu, pesquisadora da Mint Ventures
Observação: como a rede principal do Quilibrium ainda não foi lançada e as informações públicas são limitadas, as descrições de seus mecanismos de incentivo, tokenomics, financiamento e roteiro são baseadas em recursos públicos e podem mudar no futuro. Este artigo destina-se a fins educacionais e de pesquisa e não deve ser considerado um conselho de investimento. Agradecemos qualquer feedback.
Principais insights
Teses
Quilibrium visa preencher a lacuna entre as capacidades computacionais da Internet tradicional e a natureza descentralizada do blockchain, estabelecendo uma arquitetura de computação em nuvem descentralizada única. Esta síntese oferece uma abordagem equilibrada, aproveitando os pontos fortes de ambos os mundos.
A Quilibrium desenvolveu um sistema operacional baseado em banco de dados que se adapta aos fluxos de trabalho do desenvolvimento de software tradicional, atraindo potencialmente os principais desenvolvedores de software. Este sistema também oferece suporte aos desenvolvedores Web3 na criação de aplicativos criptográficos sofisticados, fornecendo uma base versátil para diversas necessidades de desenvolvimento.
O design da arquitetura do Quilibrium coloca uma forte ênfase na segurança e privacidade, apelando às empresas que procuram adotar tecnologias criptográficas enquanto protegem dados sensíveis. Para usuários individuais, o sucesso inicial do Farcaster mostra o potencial dos aplicativos descentralizados para envolver os usuários e gerar lucratividade.
Cassie Heart, fundadora e CEO da Quilibrium, é ex-engenheira sênior da Coinbase e desenvolvedora do Farcaster, liderando uma equipe reconhecida por sua profunda experiência, desempenho consistente e abordagem inovadora.
Riscos
O projeto está em fase inicial, com sua mainnet ainda a ser lançada. Além disso, a complexidade do projeto significa que tanto a sua viabilidade tecnológica como a procura do mercado permanecem por testar.
No curto prazo, o Quilibrium poderá enfrentar desafios competitivos da Arweave AO, mais estabelecida, particularmente em termos de percepção do usuário e envolvimento do desenvolvedor.
Além disso, a falta de uma economia de tokens claramente definida e a possibilidade de flutuações na taxa de libertação de tokens apresentam riscos significativos para os investidores.
Avaliação
Dado que o Quilibrium está numa fase inicial, uma avaliação precisa não é atualmente viável. No entanto, ao examinar o valor de mercado circulante e totalmente diluído, o Quilibrium parece valorizado competitivamente em comparação com outros participantes do mercado com conceitos semelhantes.
Análise de negócio
Quilibrium se define como um “protocolo descentralizado de camada de Internet, que fornece os confortos da nuvem sem sacrificar a privacidade ou escalabilidade” e como uma “solução descentralizada de plataforma como serviço (PaaS)”. Esta seção explora o modelo de negócios da Quilibrium abordando as seguintes questões principais:
Que problemas existem com a computação em nuvem tradicional na Internet?
Por que há necessidade de novas plataformas de computação descentralizadas?
O que torna o Quilibrium único em comparação com outras arquiteturas blockchain populares?

Cassie Heart em Farcaster
Posicionamento Empresarial
Comece com computação
Tanto na Web2 quanto na Web3, “computação” é um conceito vital, atuando como catalisador para o desenvolvimento, execução e escalonamento de aplicativos.
Nas estruturas tradicionais da Internet, as tarefas de computação geralmente são realizadas por servidores centralizados. O surgimento da computação em nuvem melhorou a escalabilidade, a acessibilidade e a relação custo-benefício dessas tarefas, tornando-se cada vez mais a forma dominante de computação.
Os serviços em nuvem oferecidos pelos principais provedores são geralmente categorizados em três tipos principais: Infraestrutura como Serviço (IaaS), Plataforma como Serviço (PaaS) e Software como Serviço (SaaS). Cada categoria atende a diferentes necessidades e capacidades do usuário, oferecendo diversos níveis de controle de recursos. Embora o SaaS seja mais familiar para os usuários finais, o PaaS e o IaaS são direcionados principalmente aos desenvolvedores.

Feito por Lydia@MintVentures

Fonte de dados: S2 Lab, feito por Lydia@Mint Ventures
Em blockchains convencionais como o Ethereum, a computação é gerenciada por nós descentralizados. Esta abordagem opera sem servidores centrais, com cada nó executando tarefas localmente e garantindo a precisão e consistência dos dados através de um mecanismo de consenso. No entanto, a capacidade e a velocidade da computação descentralizada muitas vezes ficam aquém em comparação com os serviços tradicionais em nuvem.
Quilibrium visa equilibrar o poder computacional robusto e a escalabilidade da Internet tradicional com a descentralização do blockchain, abrindo caminho para novas possibilidades no desenvolvimento de aplicações.

Transmissão ao vivo de Cassie Heart
Centralização em Sistemas Computacionais
Para a maioria dos utilizadores finais, a centralização dos sistemas informáticos não é facilmente percetível, uma vez que interagem principalmente com a camada de hardware. PCs, smartphones e outros dispositivos são distribuídos globalmente e funcionam de forma independente sob controle individual, dando a impressão de que os sistemas em nível de hardware não são centralizados.
No entanto, em contraste com esta dispersão de hardware, os sistemas informáticos são significativamente mais centralizados nos níveis de arquitectura de rede e de serviço de computação em nuvem. No primeiro trimestre de 2024, Amazon AWS, Microsoft Azure e Google Cloud detinham coletivamente mais de 67% da participação no mercado de serviços em nuvem, ultrapassando em muito os concorrentes mais recentes.

Fonte: Grupo de Pesquisa Sinergia
Além disso, beneficiando do boom da IA, os fornecedores de serviços em nuvem continuam a crescer mais fortes. O Microsoft Azure, como fornecedor de nuvem exclusivo para OpenAI, reverteu o seu anterior desempenho lento, mostrando agora um crescimento acelerado. No terceiro trimestre fiscal de 2024 da Microsoft (o primeiro trimestre civil de 2024), o Azure e outros serviços em nuvem tiveram um aumento de receita de 31%, superando as expectativas do mercado de 28,6%.

Fonte de dados: Microsoft, feito por Lydia@MintVentures
Além da concorrência no mercado, as preocupações com a privacidade e a segurança relacionadas com os sistemas de computação centralizados estão cada vez mais no centro das atenções. Cada interrupção nos principais provedores de serviços em nuvem tem um impacto generalizado. Entre 2010 e 2019, a AWS sofreu 22 interrupções repentinas, com média de 2,4 interrupções por ano. Estas perturbações não afetaram apenas o negócio de comércio eletrónico da Amazon, mas também afetaram os serviços online de empresas que dependem da AWS, incluindo Robinhood, Disney, Netflix e Nintendo.
Introdução da Computação Descentralizada
Neste contexto, a necessidade de computação descentralizada é cada vez mais enfatizada. À medida que os provedores de serviços de nuvem centralizados avançam em direção a arquiteturas distribuídas – replicando dados e serviços em vários locais para evitar pontos únicos de falha e melhorando o desempenho por meio do armazenamento de ponta – o foco das narrativas de computação descentralizada mudou para segurança de dados, privacidade, escalabilidade e redução de custos. eficiência.
Vamos explorar vários conceitos de computação descentralizada propostos por vários projetos, todos visando dispersar o armazenamento e processamento de dados para criar uma plataforma de computação distribuída globalmente que suporte o desenvolvimento de aplicações descentralizadas:
World Computer: geralmente se refere ao Ethereum, que fornece um ambiente global de execução de contratos inteligentes. Suas principais funcionalidades incluem computação descentralizada e execução uniforme de contratos inteligentes em todo o mundo.
Computador Internet: Normalmente refere-se ao ICP desenvolvido pela Fundação Dfinity, com o objetivo de melhorar as capacidades da Internet para permitir que aplicações descentralizadas operem diretamente na Internet.
Computador Hiper Paralelo: Geralmente se refere ao protocolo AO introduzido pela Arweave, um sistema de computação distribuído construído na rede Arweave, conhecido por seu alto paralelismo e tolerância a falhas.
É importante observar que ICP, AO e Quilibrium não são blockchains tradicionais no sentido usual. Eles não dependem de uma estrutura de blocos lineares, mas mantêm princípios fundamentais como descentralização e imutabilidade de dados. Eles podem ser vistos como expansões naturais da tecnologia blockchain. Embora o ICP ainda não tenha alcançado totalmente os seus ambiciosos objectivos, o advento do AO e do Quilibrium abriu novas possibilidades que poderão influenciar o futuro da Web3.
A tabela abaixo contrasta os recursos técnicos e os focos de aplicação das três plataformas, ajudando os leitores a avaliar “se o Quilibrium pode seguir os passos do ICP” e destacando as diferenças entre o Quilibrium, outra solução pioneira em computação descentralizada, e o AO, muitas vezes apelidado de “matador de Ethereum .”

Mecanismo de Consenso
Nas blockchains tradicionais, o mecanismo de consenso funciona em um nível fundamental e abstrato, determinando como a rede atinge o consenso, processa e verifica transações e executa outras atividades. A seleção de diferentes mecanismos de consenso influencia aspectos-chave da rede, como segurança, velocidade, escalabilidade e descentralização.
O mecanismo de consenso do Quilibrium, conhecido como “Prova de Trabalho Significativo” (PoMW), exige que os mineradores se envolvam em tarefas genuinamente benéficas para a rede, incluindo armazenamento de dados, indexação de dados e manutenção de rede. O design do mecanismo de consenso PoMW integra vários campos, como criptografia, computação multipartidária, sistemas descentralizados, arquitetura de banco de dados e teoria dos grafos. Visa diminuir a dependência de recursos únicos como energia ou capital, preservar a natureza descentralizada da rede e manter a segurança e a escalabilidade à medida que a rede se expande.
O mecanismo de incentivo é crucial para o funcionamento eficiente do mecanismo de consenso. A alocação de incentivos do Quilibrium é dinâmica, ajustando-se com base nas condições da rede para alinhar os incentivos com as demandas atuais. Além disso, o Quilibrium introduz um mecanismo multiprova, permitindo que um nó verifique vários segmentos de dados, garantindo que a rede permaneça operacional mesmo com escassez de nós e recursos principais.
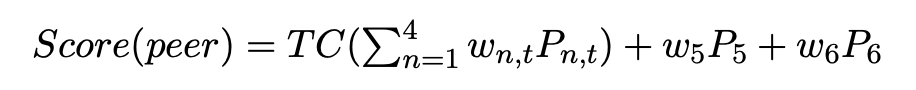
Para ajudar na sua compreensão, podemos usar uma fórmula simplificada para calcular os ganhos finais dos mineradores, onde a recompensa unitária se ajusta dinamicamente com o tamanho da rede.
Ganhos = pontuação × recompensa unitária
A pontuação é calculada com base em vários fatores e a fórmula é a seguinte:

Os parâmetros são definidos da seguinte forma:
Tempo na malha para o tópico: maior envolvimento e maior estabilidade geram uma pontuação mais alta.
Entregas de primeiras mensagens para o tópico: um número maior de entregas de mensagens iniciais aumenta a pontuação.
Taxa/falhas de entrega de mensagens de malha para o tópico: nós com taxas de entrega mais altas e menos falhas recebem pontuações mais altas.
Mensagens inválidas para o tópico: menos ocorrências de entrega de mensagens inválidas levam a uma pontuação mais alta.
A soma ponderada destes quatro parâmetros está sujeita a um topic cap (TC), que serve para manter a pontuação dentro de um determinado intervalo e evitar pontuações injustas devido a parâmetros individuais excessivamente elevados.
Pontuação específica do aplicativo: definida pelo aplicativo específico.
Fator de colocação de IP: Pontuações mais altas são concedidas a nós com menos outros compartilhando o mesmo endereço IP.

Painel de equilíbrio
O Quilibrium opera atualmente em mais de 60.000 nós, e os ganhos reais desses nós podem variar devido aos diferentes pesos dos parâmetros entre as versões. A partir da versão v1.4.19, os mineradores podem visualizar seus ganhos em tempo real, embora os ganhos só possam ser reivindicados quando a rede principal entrar no ar.
Arquitetura de rede
O principal negócio da Quilibrium é a sua solução PaaS descentralizada, caracterizada por um modelo de rede que inclui comunicação, armazenamento, consulta e gestão de dados e sistemas operativos. Esta seção destaca os aspectos distintivos de seu design em comparação com outros blockchains. Os leitores interessados em especificidades técnicas e metodologias podem consultar os documentos oficiais e o whitepaper.
Comunicação
A comunicação serve como componente fundamental da rede Quilibrium e consiste em quatro partes:
a. Geração de Chave
Quilibrium introduz um mecanismo de geração de chaves chamado PCAS (Planted Clique Addressing Scheme), baseado na teoria dos grafos. Assim como a tecnologia blockchain tradicional, o PCAS utiliza criptografia assimétrica: cada usuário possui uma chave pública e uma chave privada. A chave pública é usada para criptografar mensagens ou verificar assinaturas e pode ser tornada pública, enquanto a chave privada é usada para descriptografar mensagens ou criar assinaturas e é mantida privada. As principais diferenças estão nos métodos de geração de chaves, formulários e cenários de aplicação.

b. Criptografia ponta a ponta
A criptografia ponta a ponta (E2EE) é um componente vital que garante a comunicação segura entre os nós. Com o E2EE, apenas as partes diretamente envolvidas na comunicação podem visualizar os dados em texto simples. Sistemas ou intermediários que auxiliam na entrega de mensagens não conseguem ler o conteúdo.
Quilibrium utiliza um método de criptografia ponta a ponta conhecido como Triple-Ratchet, que fornece segurança aprimorada em relação aos esquemas ECDH tradicionais. Ao contrário dos esquemas tradicionais que usam uma única chave estática ou atualizam periodicamente a chave, o protocolo Triple-Ratchet atualiza a chave após cada sessão de comunicação. Isso garante sigilo de encaminhamento, segurança pós-comprometimento, negação e proteção de reprodução, além de oferecer suporte à entrega de mensagens fora de ordem. Este método é particularmente adequado para comunicações em grupo, embora seja relativamente mais complexo e computacionalmente caro.
c. Roteamento de rede embaralhada
As mixnets funcionam como uma caixa preta que recebe mensagens dos remetentes e as encaminha aos destinatários, garantindo que invasores externos, mesmo com acesso a informações fora da caixa preta, não consigam correlacionar os remetentes com os destinatários.
Quilibrium utiliza a tecnologia Random Permutation Matrix (RPM), que forma uma arquitetura de rede embaralhada que é complexa em estrutura e resistente a ataques externos e internos, proporcionando assim anonimato, segurança e escalabilidade aprimorados.
d. Comunicação ponto a ponto
GossipSub é um protocolo de mensagens ponto a ponto que opera em um modelo de publicação/assinatura, amplamente empregado em tecnologias blockchain e aplicativos descentralizados (DApps). O protocolo BlossomSub da Quilibrium aprimora a estrutura tradicional do GossipSub, concentrando-se em melhorar as proteções de privacidade, aumentar a resiliência contra ataques Sybil e melhorar o desempenho geral da rede.
Armazenar
A maioria dos blockchains tradicionais usa funções hash criptográficas para verificação básica da integridade dos dados e depende de mecanismos de consenso para manter a consistência da rede. Este método apresenta duas limitações principais:
Não há verificação integrada para a duração do armazenamento, faltando defesas diretas contra carimbos de data/hora ou ataques baseados em capacidade computacional.
A separação entre mecanismos de armazenamento e consenso pode resultar em desafios relacionados à sincronização e consistência de dados.
A estratégia de armazenamento do Quilibrium emprega uma função de atraso verificável (VDF) para criar uma estrutura de cadeia dependente de carimbo de data/hora que integra armazenamento com mecanismos de consenso. Essa abordagem possui vários recursos principais:
Processamento de entrada: a utilização de funções hash como SHA256 e SHAKE128 para processar entradas garante que pequenas variações de dados resultem em alterações substanciais nos valores de hash, aumentando a resistência à adulteração e facilitando a verificação.
Garantia de atraso: a computação é deliberadamente projetada para ser demorada, com cada tarefa dependendo dos resultados da etapa anterior e incapaz de ser acelerada pelo aumento do poder de computação. Isso garante que as saídas sejam baseadas em cálculos consistentes de carimbo de data/hora. Como o processo não é paralelizável, qualquer tentativa de recalcular ou alterar os resultados do VDF divulgados publicamente levaria um tempo significativo, permitindo que os participantes da rede detectassem e reagissem.
Verificação rápida: verificar um resultado VDF leva menos tempo do que gerá-lo, exigindo apenas alguns testes matemáticos ou alguns dados suplementares para confirmar sua validade.

Artigo de equilíbrio
Essa estrutura de cadeia de prova baseada em carimbo de data/hora opera independentemente da geração de blocos em blockchains tradicionais, reduzindo teoricamente a incidência de ataques MEV e comportamentos de front-running.
Consulta e gerenciamento de dados
Os blockchains tradicionais empregam principalmente armazenamento simples de valores-chave ou Merkle Trees para gerenciamento de dados, o que geralmente restringe sua capacidade de representar relacionamentos complexos e facilitar consultas avançadas. Além disso, a maioria dos sistemas blockchain existentes carece de salvaguardas de privacidade inerentes durante a execução de consultas pelos nós, preparando o terreno para o desenvolvimento de tecnologias que melhoram a privacidade, como provas de conhecimento zero.
Quilibrium introduziu o “Oblivious Hypergraph”, integrando estruturas de hipergrafo com a tecnologia Oblivious Transfer, que facilita recursos de consulta complexos enquanto preserva a privacidade dos dados. Especificamente:
Estrutura do hipergrafo: permite arestas que conectam vários vértices, melhorando significativamente a capacidade de representar relacionamentos complexos. Pode mapear diretamente diversos modelos de banco de dados, possibilitando a representação e consulta de qualquer tipo de relacionamento de dados.
Tecnologia de transferência inconsciente: Isso garante que os nós que processam os dados permaneçam inconscientes do conteúdo real que está sendo acessado, aumentando assim a privacidade durante o processo de consulta.
Sistema operacional
O sistema operacional não é um conceito nativo no espaço blockchain. A maioria dos blockchains tradicionais concentra-se em mecanismos de consenso e imutabilidade de dados, muitas vezes carecendo de sistemas operacionais complexos. Por exemplo, embora o Ethereum suporte contratos inteligentes, as funções do seu sistema operacional são bastante básicas, limitadas principalmente ao processamento de transações e gerenciamento de estado.
A Quilibrium projetou um sistema operacional que aproveita seu banco de dados hipergráfico e implementou primitivos regulares de sistema operacional, como sistemas de arquivos, agendadores, mecanismos IPC, filas de mensagens e gerenciamento de chaves de controle. Esta integração direta com o banco de dados aumenta a capacidade de desenvolver aplicações descentralizadas sofisticadas.

Artigo de equilíbrio
Linguagens de programação
Quilibrium escolheu Go como sua principal linguagem de programação, complementada por Rust e JavaScript. Go é preferido por sua capacidade robusta de lidar com tarefas simultâneas, sintaxe direta e comunidade vibrante de desenvolvedores. De acordo com o índice Tiobe, Go subiu significativamente em popularidade, alcançando a 7ª posição no último ranking de junho. Outros projetos notáveis de blockchain que utilizam Go para desenvolvimento central incluem Ethereum, Polygon e Cosmos.

equilíbrio

Tiobé
Visão Geral do Projeto
Caminho e roteiro de desenvolvimento
A Quilibrium lançou seu white paper em dezembro de 2022, delineando um roteiro segmentado em três fases distintas: Crepúsculo, Equinócio e Horizonte de Eventos.
Atualmente, em seus estágios iniciais, a equipe de desenvolvimento do Quilibrium conduz atualizações e iterações de rede quinzenalmente. A rede está agora na versão v1.4.20, com planos de pular a fase 1.5 do roteiro, fazendo a transição diretamente da versão 1.4 para a 2.0. A versão 2.0, marcando o lançamento da mainnet, conclui a fase Dusk e está prevista para lançamento oficial no final de julho, permitindo a ponte de tokens $QUIL.
De acordo com os planos provisórios, as fases Equinox e Event Horizon facilitarão aplicações mais sofisticadas, como serviços de streaming e treinamento de modelos de IA/ML.
Membros da equipe e financiamento
Cassie Heart, fundadora e CEO da Quilibrium, traz uma sólida experiência com mais de 12 anos de experiência em desenvolvimento de software e tecnologia blockchain, anteriormente ocupando o cargo de engenheira de software sênior na Coinbase.
Sua desaprovação das plataformas centralizadas de mídia social a levou a escolher Farcaster como a principal plataforma para suas comunicações pessoais e oficiais do Quilibrium. No Farcaster, o perfil de Cassie atraiu mais de 310.000 seguidores, incluindo indivíduos proeminentes como o fundador da Ethereum, Vitalik Buterin. Ela também contribui ativamente para o desenvolvimento do Farcaster.
O projeto Quilibrium, iniciado em abril de 2023, tem apresentado progressos consistentes. De acordo com o painel de desenvolvimento, a equipe é formada por 24 desenvolvedores, sob a liderança de Cassie Heart.
A fundadora e CEO da Quilibrium, Cassie Heart, atuou anteriormente como engenheira de software sênior na Coinbase, trazendo mais de 12 anos de experiência em desenvolvimento de software e tecnologia blockchain.
Devido à sua desaprovação das plataformas centralizadas de mídia social, tanto suas contas pessoais quanto as contas oficiais do projeto Quilibrium são predominantemente ativas no Farcaster. O perfil Farcaster de Cassie possui mais de 310.000 seguidores, incluindo figuras notáveis como o fundador da Ethereum, Vitalik. Além disso, Cassie contribui para o desenvolvimento de Farcaster.
De acordo com o painel de desenvolvimento do Quilibrium, o projeto começou em abril de 2023 e tem progredido de forma constante desde então. O painel lista 24 desenvolvedores, liderados por Cassie Heart.


equilíbrio
A equipe Quilibrium não divulgou publicamente seu apoio financeiro ou os investidores envolvidos.
Tokenomia
$QUIL é o token nativo do Quilibrium, com um lançamento totalmente justo. Todos os tokens são gerados por meio de operações de nó. Segundo Cassie, a equipe gerencia uma pequena fração dos nós, mas detém menos de 1% do total de tokens.
$QUIL opera sem tokenômica fixa e não tem limite para o fornecimento total. No entanto, a oferta é ajustada dinamicamente com base na taxa de adoção da rede – mais tokens são liberados como incentivos para a operação do nó à medida que a rede se expande; por outro lado, se o crescimento desacelerar, a taxa de liberação de tokens será reduzida de acordo.
A tabela a seguir descreve as projeções feitas pela equipe e pelos membros da comunidade em relação ao cronograma de emissões de tokens. Atualmente, estão em circulação 340 milhões de tokens, prevendo-se que a oferta final convirja para cerca de 2 mil milhões, dependendo da evolução do ecossistema.

Fonte: @petejcrypto
Riscos
Nesta fase, o Quilibrium enfrenta vários riscos potenciais:
O projeto está em fase inicial, com sua mainnet ainda a ser lançada. Além disso, a complexidade do projeto significa que tanto a sua viabilidade tecnológica como a procura do mercado permanecem por testar.
No curto prazo, o Quilibrium poderá enfrentar desafios competitivos da Arweave AO, mais estabelecida, particularmente em termos de percepção do usuário e envolvimento do desenvolvedor.
Além disso, a falta de uma economia de tokens claramente definida e a possibilidade de flutuações na taxa de libertação de tokens apresentam riscos significativos para os investidores.
Avaliação
A avaliação de infraestruturas públicas do tipo blockchain é inerentemente complexa, considerando vários fatores como TVL, endereços ativos na cadeia, dApps e a comunidade de desenvolvedores. O Quilibrium permanece em seus estágios iniciais e o token $AO da Arweave AO não está aberto para negociação, o que nos impede de determinar uma avaliação precisa.
Para referência, listamos o valor de mercado circulante e o valor de mercado totalmente diluído de projetos com alguma sobreposição conceitual com o Quilibrium (dados de 23 de junho de 2024).

Fonte: CoinGecko, Última atualização: 23 de junho de 2024
Referências e Agradecimentos
Este relatório é amplamente apoiado pelas análises e comentários de @PleaseCallMeWhy, @ImDavidWeb3 e Connor.
Lista de leitura
https://quilibrium.com/quilibrium.pdf
https://paragraph.xyz/@quilibrium.com
https://dashboard.quilibrium.com/
https://www.youtube.com/watch?v=Ye677-FkgXE&ab_channel=CassandraHeart
https://dune.com/cincauhangus/quilibrium
https://source.quilibrium.com/quilibrium/ceremonyclient/-/graphs/main?ref_type=heads
https://www.tiobe.com/tiobe-index/
https://www.blocmates.com/meal-deal-research-reports/quilibrium-crypto-not-blockchain-long-live-the-internet
https://www.statista.com/chart/18819/worldwide-market-share-of-leading-cloud-infrastructure-service-providers/
https://s2-labs.com/admin-tutorials/cloud-service-models/
https://medium.com/@permadao/%E5%8E%BB%E4%B8%AD%E5%BF%83%E5%8C%96%E4%BA%91%E6%9C%8D%E5% 8A%A1%E8%BF%9B%E5%8C%96%E5%8F%B2-%E4%BB%8E-dfinity-ic-%E5%88%B0-arweave-ao-839b09b4f3ff
https://www.microsoft.com/en-us/investor/earnings/FY-2024-Q3/press-release-webcast
https://x.com/perma_daoCN/status/1798565157435830416
https://x.com/Pow2wer/status/1802455254065402106